About Projects
Project #1:
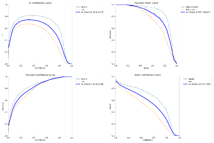
Integration of YOLOv11 and Histogram Equalization for Fire and Smoke-Based Detection of Forest and Land Fires
Click the card to see details
Project Details
Keywords: Histogram equalization; YOLO; forest and land fire detection; deep learning

Click to view article
Click to download project (Github)
Authors & Contributors
Christine Dewi, S.Kom, M.CS, Ph.D.
Alfred Deakin Post Doc Research Fellow at Deakin University, Associate Professor (Senior Lecturer) at Satya Wacana Christian University
Email: christine.dewi13@gmail.com, christine.dewi@uksw.edu, c.dewi@deakin.edu.au
Melati Viaeritas Vitrieco Santoso
Department of Information Technology, Satya Wacana Christian University
Hanna Prillysca Chernovita, S.SI., M.Cs.
Faculty Lecturer at Satya Wacana Christian University
Email: hanna.chernovita@uksw.edu
Evangs Mailoa, S.Kom., M.Cs.
Faculty Lecturer at Satya Wacana Christian University
Stephen Abednego Philemon
Department of Information Technology, Satya Wacana Christian University
Abbott Po Shun Chen
Associate Professor at Chaoyang University of Technology
Email: chprosen@gm.cyut.edu.tw
Photos
Dataset
Cite this Article
Dewi, C., Santoso, M.V.V., Chernovita, H.P., Mailoa, E., Philemon, S.A. et al. (2025). Integration of YOLOv11 and Histogram Equalization for Fire and Smoke-Based Detection of Forest and Land Fires. Computers, Materials & Continua, 84(3), 5361–5379. https://doi.org/10.32604/cmc.2025.067381
Vancouver Style
Dewi C, Santoso MVV, Chernovita HP, Mailoa E, Philemon SA, Chen APS. Integration of YOLOv11 and Histogram Equalization for Fire and Smoke-Based Detection of Forest and Land Fires. Comput Mater Contin. 2025;84(3):5361–5379. https://doi.org/10.32604/cmc.2025.067381
IEEE Style
C. Dewi, M. V. V. Santoso, H. P. Chernovita, E. Mailoa, S. A. Philemon, and A. P. S. Chen, “Integration of YOLOv11 and Histogram Equalization for Fire and Smoke-Based Detection of Forest and Land Fires,” Comput. Mater. Contin., vol. 84, no. 3, pp. 5361–5379, 2025. https://doi.org/10.32604/cmc.2025.067381
Project #2:
Forest and Land Fire Detection via YOLOv12 with Enhanced Visual Feature Processing
Click the card to see details
Project Details
Keywords: Forest and land fires; wildfire detection; deep learning; fire and smoke detection; histogram equalization; CLAHE; DBST-LCM CLAHE; YOLOv12

Click to download project (Github)
Authors & Contributors
Christine Dewi, S.Kom, M.CS, Ph.D.
Alfred Deakin Post Doc Research Fellow at Deakin University, Associate Professor (Senior Lecturer) at Satya Wacana Christian University
Email: christine.dewi13@gmail.com, christine.dewi@uksw.edu, c.dewi@deakin.edu.au
Hanna Prillysca Chernovita, S.SI., M.Cs.
Faculty Lecturer at Satya Wacana Christian University
Email: hanna.chernovita@uksw.edu
Melati Viaeritas Vitrieco Santoso
Department of Information Technology, Satya Wacana Christian University
Stephen Abednego Philemon
Department of Information Technology, Satya Wacana Christian University
Stephen Aprius Sutresno, S.Kom., M.Kom.
Faculty Lecturer at Atma Jaya Catholic University of Indonesia
Email: stephen.sutresno@atmajaya.ac.id
Abbott Po Shun Chen
Associate Professor at Chaoyang University of Technology
Email: chprosen@gm.cyut.edu.tw
Photos